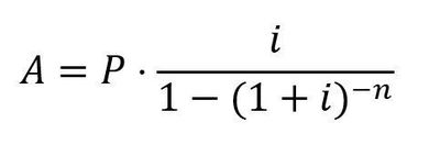
Nýja vaxtaviðmiðið: Lausn eða gildra fyrir heimilin? Bogi Ragnarsson skrifar 12. nóvember 2025 19:00 Nýja vaxtaviðmiðið var kynnt sem lausn fyrir heimilin. Það átti að tryggja gagnsæ kjör og meira jafnvægi á húsnæðismarkaði. En þegar verðtryggð kjör bankanna eru reiknuð út blasir við nöturlegur veruleiki: hægt er að fá lán og borga næstum sömu upphæð aftur í hreinum raunvöxtum á 30 árum. Þetta er ekki jaðartilvik. Þetta er kerfið eins og það lítur út núna. Dæmi sem sýnir stöðuna skýrt Hugsum okkur 80 milljóna króna íbúð og 90 prósent jafngreiðslulán, samtals 71 milljón. Kjör Íslandsbanka eru eftirfarandi: 40 milljónir á 4,75% (30 ár) 24 milljónir á 5,85% (30 ár) 7 milljónir á 10,85% óverðtryggt (10 ár), sem jafngildir um 6,5% raunvöxtum miðað við 4,1% verðbólgu. Fyrir einstakling sem hefur um 10 prósent í útborgun er þetta í reynd eini möguleikinn til að standast greiðslumat fyrir 30 ára lán. Engin önnur lánastofnun býður sambærilega fjármögnun við slíkar aðstæður. Þetta eru því ekki kjör sem lántaki velur úr fjölmörgum valkostum, heldur kjör sem markaðurinn skilur eftir sem einu leiðina inn á húsnæðismarkað. Þegar þessi lán eru reiknuð saman á jafngreiðslum kemur í ljós að hreinir raunvextir – þ.e. vextir umfram verðbólgu – nema um 65 milljónum króna yfir tímabilið. Lántakandinn borgar því sambærilega upphæð í raunvöxtum og hann fékk lánað í upphafi. Fyrsti mánuðurinn sýnir þetta glöggt: hreinir raunvextirnir nema um 300–340 þúsund krónum. Hvernig þessi tala er reiknuð Talan byggir á hefðbundnu jafngreiðslulíkani þar sem greiðslan er jöfn út lánstímann. Greiddir raunvextir á lánstímanum eru þá mismunurinn á öllum greiðslum og upphaflegri lánsfjárhæð. Í þessu dæmi gefur það um 35 milljónir í vexti af 40 milljóna láni á 4,75% raunvöxtum, um 27 milljónir af 24 milljóna láni á 5,85% og um 2,5 milljónir af 7 milljóna láni á 6,5% raunvöxtum. Samanlagt nema hreinir raunvextir því um 65 milljónum króna yfir lánstímann. Formúlan fyrir mánaðarlega greiðslu er: þar sem: A = mánaðarleg greiðsla P = höfuðstóll (lánsfjárhæð) i = mánaðarlegir vextir (ársvextir / 12) n = fjöldi mánaða Heildarvextir eru síðan mismunurinn á öllum greiðslum (A × n) og upphaflegri lánsfjárhæð (P). Vaxtaviðmiðið hækkar grunninn Nýja vaxtaviðmiðið sem stjórnvöld settu byggir á stuttum ríkisskuldabréfum. Slík bréf eru almennt sveiflukenndari og endurspegla ekki stöðugleika langtímalána. Ef langt ríkisskuldabréf væri notað sem grunnur væri vaxtagrunnurinn líklega lægri og stöðugri yfir lánstímann. Staðan er því sú að viðmiðið byggir á breytilegum vöxtum sem geta hækkað hraðar og gert fjármögnun heimilanna óstöðugri, áður en bankarnir bæta sínu álagi við – sem er þegar mjög hátt. Þótt bankarnir kalli það ekki formlegt vaxtagólf hafa verðtryggð lán sjaldan farið undir um 3,5% vexti. Samkvæmt upplýsingum frá Íslandsbanka er þó mögulegt að fara neðar ef viðmiðið lækkar verulega. Í reynd tryggir fyrirkomulagið engu að síður bönkunum stöðuga raunávöxtun, á meðan áhættan af hækkandi vöxtum hvílir alfarið á heimilunum. Álag bankanna skiptir sköpum Viðmiðið er aðeins fyrri helmingur myndarinnar. Hinn helmingurinn er álagið sem bankarnir leggja ofan á. Það er hátt og hefur afgerandi áhrif á heildarkjör heimilanna. Þegar hátt viðmið og hátt álag mætast verða heildarkjörin þannig að lántakendur greiða tugi milljóna í raunvexti. Ábyrgðin er tvíþætt Umræðan um vaxtaviðmið og vexti beinist oft að einum aðila í einu. En staðan í dag er mótuð af tveimur skýrum þáttum: Stjórnvöld völdu viðmið sem sveiflast meira en langtímalán Bankarnir bæta síðan við álagi sem ýtir vöxtum enn hærra. Saman skapar þetta kerfi þar sem heimili neyðast til að borga nær tvöfalt það sem þau fengu lánað – í hreinum raunvöxtum. Hvað stendur eftir? Ef markmið stjórnvalda er að tryggja stöðug og sanngjörn kjör fyrir heimilin þurfa þau að endurskoða viðmiðið og raunveruleg samkeppni þarf að vera til staðar um álagið. Því staðreyndin er þessi: að fá 71 milljón í lán – og borga næstum sömu upphæð aftur í raunvöxtum – er ekki sjálfbær leið inn á húsnæðismarkað. Höfundur er félagsfræðingur og kennari. Viltu birta grein á Vísi? Kynntu þér reglur ritstjórnar um skoðanagreinar. Senda grein Bogi Ragnarsson Fjármál heimilisins Húsnæðismál Mest lesið Hermenn Viðreisnar Jón Pétur Zimsen Skoðun Opið bréf til heilbrigðisráðherra Sif Huld Albertsdóttir Skoðun Af hverju má ekki segja nei? Erna Bjarnadóttir Skoðun Hverra hagsmuna er verið að gæta? Kolbrún Áslaugar Baldursdóttir Skoðun Evrópuhugsjónin á sakamannabekknum Arnar Sigurðsson Skoðun Velsæld og hagsæld - breytum mælikvörðunum Ásgeir Brynjar Torfason,Birna Björnsdóttir,Guðmundur Steingrímsson,Hildur Harðardóttir,Kristín Vala Ragnarsdóttir,Sigríður Kristín Hrafnkelsdóttir,Silja Elvarsdóttir,Svandís Egilsdóttir,Tinna Jóhannsdóttir, Dóra Guðrún Guðmundsdóttir,Brynhildur Davíðsdóttir,Þórhildur Fjóla Kristjánsdóttir Skoðun Vörðum leiðina afdráttarlaust í mögulegum aðildarviðræðum Heiðrún Lind Marteinsdóttir Skoðun Bandaríkin draga úr hernaðarframlögum til NATO á hættu-og ófriðartímum Arnór Sigurjónsson Skoðun Fullveldi, upplýst umræða og ábyrg ákvörðun Ingibjörg Isaksen Skoðun Opið bréf til skóla- og velferðarþjónustu Reykjavíkurborgar vegna fordómafulls orðalags í matslista á vanda barna Mamiko Ragnarsdóttir Skoðun Skoðun Skoðun Tékkar vilja halda krónunni og sömu rök eiga við um Ísland Júlíus Valsson skrifar Skoðun Ísland í sama flokki og Norður Kórea í námsefnisgerð? Mathieu Grettir Skúlason skrifar Skoðun Opið bréf til heilbrigðisráðherra Sif Huld Albertsdóttir skrifar Skoðun Ísland og nýja djobbið Dóra Magnúsdóttir skrifar Skoðun Evrópuhugsjónin á sakamannabekknum Arnar Sigurðsson skrifar Skoðun Bandaríkin draga úr hernaðarframlögum til NATO á hættu-og ófriðartímum Arnór Sigurjónsson skrifar Skoðun Raunhæf áætlun um endurheimt íslenskra fiskimiða Sigurður Sigurðsson skrifar Skoðun STEM menntun þarf langtímasýn Huld Hafliðadóttir skrifar Skoðun Af hverju má ekki segja nei? Erna Bjarnadóttir skrifar Skoðun Hverra hagsmuna er verið að gæta? Kolbrún Áslaugar Baldursdóttir skrifar Skoðun Þrír af hverjum fjórum Íslendingum styðja dánaraðstoð Ingrid Kuhlman skrifar Skoðun Vörðum leiðina afdráttarlaust í mögulegum aðildarviðræðum Heiðrún Lind Marteinsdóttir skrifar Skoðun Hermenn Viðreisnar Jón Pétur Zimsen skrifar Skoðun Fullveldi, upplýst umræða og ábyrg ákvörðun Ingibjörg Isaksen skrifar Skoðun Opið bréf til skóla- og velferðarþjónustu Reykjavíkurborgar vegna fordómafulls orðalags í matslista á vanda barna Mamiko Ragnarsdóttir skrifar Skoðun Sorrý ég hélt að þetta væri skólablýantur Davíð Már Sigurðsson skrifar Skoðun Hafró setur kíkinn fyrir blinda augað Kjartan Sveinsson skrifar Skoðun Er Borgarlína eina lausn umferðarvanda höfuðborgarsvæðisins? Óskar Halldór Valtýsson skrifar Skoðun Að þora ekki að ræða við nágranna sína Ragnar Sverrisson skrifar Skoðun Umhverfisvænn söngvari óskast Guðmunda G. Guðmundsdóttir skrifar Skoðun Hvenær ber læknir ábyrgð á mistökum annarra? Það þarf að áfrýja héraðsdómi í plastbarkamálinu Gunnar Ármannsson skrifar Skoðun Barn lemur sig í andlitið með hamri – hvað er til ráða? Þórdís Elva Þorvaldsdóttir,Benedikta Sörensen skrifar Skoðun Velsæld og hagsæld - breytum mælikvörðunum Ásgeir Brynjar Torfason,Birna Björnsdóttir,Guðmundur Steingrímsson,Hildur Harðardóttir,Kristín Vala Ragnarsdóttir,Sigríður Kristín Hrafnkelsdóttir,Silja Elvarsdóttir,Svandís Egilsdóttir,Tinna Jóhannsdóttir, Dóra Guðrún Guðmundsdóttir,Brynhildur Davíðsdóttir,Þórhildur Fjóla Kristjánsdóttir skrifar Skoðun Hvenær heyrði hann já? Helga Benediktsdóttir skrifar Skoðun Framúrakstur á ekki að ráðast af þolinmæði og heppni Hólmar Erlu Svansson skrifar Skoðun Skæri fyrir örvhenta Þórgunnur Oddsdóttir skrifar Skoðun Þegar þögn laganna verður að banni Bergur Hauksson skrifar Skoðun Ljósmyndin á öld lögvakans Kristján Logason skrifar Skoðun Af hverju heldur Gigtarfélagið fjölskylduhátíð? Stefán Magnússon skrifar Skoðun Er Ísland orðið of dýrt fyrir venjulegt líf? Valerio Gargiulo skrifar Sjá meira
Nýja vaxtaviðmiðið var kynnt sem lausn fyrir heimilin. Það átti að tryggja gagnsæ kjör og meira jafnvægi á húsnæðismarkaði. En þegar verðtryggð kjör bankanna eru reiknuð út blasir við nöturlegur veruleiki: hægt er að fá lán og borga næstum sömu upphæð aftur í hreinum raunvöxtum á 30 árum. Þetta er ekki jaðartilvik. Þetta er kerfið eins og það lítur út núna. Dæmi sem sýnir stöðuna skýrt Hugsum okkur 80 milljóna króna íbúð og 90 prósent jafngreiðslulán, samtals 71 milljón. Kjör Íslandsbanka eru eftirfarandi: 40 milljónir á 4,75% (30 ár) 24 milljónir á 5,85% (30 ár) 7 milljónir á 10,85% óverðtryggt (10 ár), sem jafngildir um 6,5% raunvöxtum miðað við 4,1% verðbólgu. Fyrir einstakling sem hefur um 10 prósent í útborgun er þetta í reynd eini möguleikinn til að standast greiðslumat fyrir 30 ára lán. Engin önnur lánastofnun býður sambærilega fjármögnun við slíkar aðstæður. Þetta eru því ekki kjör sem lántaki velur úr fjölmörgum valkostum, heldur kjör sem markaðurinn skilur eftir sem einu leiðina inn á húsnæðismarkað. Þegar þessi lán eru reiknuð saman á jafngreiðslum kemur í ljós að hreinir raunvextir – þ.e. vextir umfram verðbólgu – nema um 65 milljónum króna yfir tímabilið. Lántakandinn borgar því sambærilega upphæð í raunvöxtum og hann fékk lánað í upphafi. Fyrsti mánuðurinn sýnir þetta glöggt: hreinir raunvextirnir nema um 300–340 þúsund krónum. Hvernig þessi tala er reiknuð Talan byggir á hefðbundnu jafngreiðslulíkani þar sem greiðslan er jöfn út lánstímann. Greiddir raunvextir á lánstímanum eru þá mismunurinn á öllum greiðslum og upphaflegri lánsfjárhæð. Í þessu dæmi gefur það um 35 milljónir í vexti af 40 milljóna láni á 4,75% raunvöxtum, um 27 milljónir af 24 milljóna láni á 5,85% og um 2,5 milljónir af 7 milljóna láni á 6,5% raunvöxtum. Samanlagt nema hreinir raunvextir því um 65 milljónum króna yfir lánstímann. Formúlan fyrir mánaðarlega greiðslu er: þar sem: A = mánaðarleg greiðsla P = höfuðstóll (lánsfjárhæð) i = mánaðarlegir vextir (ársvextir / 12) n = fjöldi mánaða Heildarvextir eru síðan mismunurinn á öllum greiðslum (A × n) og upphaflegri lánsfjárhæð (P). Vaxtaviðmiðið hækkar grunninn Nýja vaxtaviðmiðið sem stjórnvöld settu byggir á stuttum ríkisskuldabréfum. Slík bréf eru almennt sveiflukenndari og endurspegla ekki stöðugleika langtímalána. Ef langt ríkisskuldabréf væri notað sem grunnur væri vaxtagrunnurinn líklega lægri og stöðugri yfir lánstímann. Staðan er því sú að viðmiðið byggir á breytilegum vöxtum sem geta hækkað hraðar og gert fjármögnun heimilanna óstöðugri, áður en bankarnir bæta sínu álagi við – sem er þegar mjög hátt. Þótt bankarnir kalli það ekki formlegt vaxtagólf hafa verðtryggð lán sjaldan farið undir um 3,5% vexti. Samkvæmt upplýsingum frá Íslandsbanka er þó mögulegt að fara neðar ef viðmiðið lækkar verulega. Í reynd tryggir fyrirkomulagið engu að síður bönkunum stöðuga raunávöxtun, á meðan áhættan af hækkandi vöxtum hvílir alfarið á heimilunum. Álag bankanna skiptir sköpum Viðmiðið er aðeins fyrri helmingur myndarinnar. Hinn helmingurinn er álagið sem bankarnir leggja ofan á. Það er hátt og hefur afgerandi áhrif á heildarkjör heimilanna. Þegar hátt viðmið og hátt álag mætast verða heildarkjörin þannig að lántakendur greiða tugi milljóna í raunvexti. Ábyrgðin er tvíþætt Umræðan um vaxtaviðmið og vexti beinist oft að einum aðila í einu. En staðan í dag er mótuð af tveimur skýrum þáttum: Stjórnvöld völdu viðmið sem sveiflast meira en langtímalán Bankarnir bæta síðan við álagi sem ýtir vöxtum enn hærra. Saman skapar þetta kerfi þar sem heimili neyðast til að borga nær tvöfalt það sem þau fengu lánað – í hreinum raunvöxtum. Hvað stendur eftir? Ef markmið stjórnvalda er að tryggja stöðug og sanngjörn kjör fyrir heimilin þurfa þau að endurskoða viðmiðið og raunveruleg samkeppni þarf að vera til staðar um álagið. Því staðreyndin er þessi: að fá 71 milljón í lán – og borga næstum sömu upphæð aftur í raunvöxtum – er ekki sjálfbær leið inn á húsnæðismarkað. Höfundur er félagsfræðingur og kennari.
Velsæld og hagsæld - breytum mælikvörðunum Ásgeir Brynjar Torfason,Birna Björnsdóttir,Guðmundur Steingrímsson,Hildur Harðardóttir,Kristín Vala Ragnarsdóttir,Sigríður Kristín Hrafnkelsdóttir,Silja Elvarsdóttir,Svandís Egilsdóttir,Tinna Jóhannsdóttir, Dóra Guðrún Guðmundsdóttir,Brynhildur Davíðsdóttir,Þórhildur Fjóla Kristjánsdóttir Skoðun
Opið bréf til skóla- og velferðarþjónustu Reykjavíkurborgar vegna fordómafulls orðalags í matslista á vanda barna Mamiko Ragnarsdóttir Skoðun
Skoðun Bandaríkin draga úr hernaðarframlögum til NATO á hættu-og ófriðartímum Arnór Sigurjónsson skrifar
Skoðun Vörðum leiðina afdráttarlaust í mögulegum aðildarviðræðum Heiðrún Lind Marteinsdóttir skrifar
Skoðun Opið bréf til skóla- og velferðarþjónustu Reykjavíkurborgar vegna fordómafulls orðalags í matslista á vanda barna Mamiko Ragnarsdóttir skrifar
Skoðun Er Borgarlína eina lausn umferðarvanda höfuðborgarsvæðisins? Óskar Halldór Valtýsson skrifar
Skoðun Hvenær ber læknir ábyrgð á mistökum annarra? Það þarf að áfrýja héraðsdómi í plastbarkamálinu Gunnar Ármannsson skrifar
Skoðun Barn lemur sig í andlitið með hamri – hvað er til ráða? Þórdís Elva Þorvaldsdóttir,Benedikta Sörensen skrifar
Skoðun Velsæld og hagsæld - breytum mælikvörðunum Ásgeir Brynjar Torfason,Birna Björnsdóttir,Guðmundur Steingrímsson,Hildur Harðardóttir,Kristín Vala Ragnarsdóttir,Sigríður Kristín Hrafnkelsdóttir,Silja Elvarsdóttir,Svandís Egilsdóttir,Tinna Jóhannsdóttir, Dóra Guðrún Guðmundsdóttir,Brynhildur Davíðsdóttir,Þórhildur Fjóla Kristjánsdóttir skrifar
Velsæld og hagsæld - breytum mælikvörðunum Ásgeir Brynjar Torfason,Birna Björnsdóttir,Guðmundur Steingrímsson,Hildur Harðardóttir,Kristín Vala Ragnarsdóttir,Sigríður Kristín Hrafnkelsdóttir,Silja Elvarsdóttir,Svandís Egilsdóttir,Tinna Jóhannsdóttir, Dóra Guðrún Guðmundsdóttir,Brynhildur Davíðsdóttir,Þórhildur Fjóla Kristjánsdóttir Skoðun
Opið bréf til skóla- og velferðarþjónustu Reykjavíkurborgar vegna fordómafulls orðalags í matslista á vanda barna Mamiko Ragnarsdóttir Skoðun